Transcendentalism refers to the philosophical movement that developed in the 1800s. It taught people to believe in the inherent goodness of people and nature. It also said that religious organizations and political parties corrupt the purity of an individual. So obviously, any ceremonies or functions attended by transcendentalists should be called transcendental functions. Right? No, not really! That has actually nothing to do with what we will be discussing here. When we hear the term ‘function’ used in a scientific context, we immediately jump to mathematics. If you are somewhat familiar with mathematics, you know what a function is. If not, no worries; we will discuss it further soon. But for now, all we need to know is that real functions are divided into two groups: algebraic functions and transcendental functions. Wait, what? Aren’t all functions and equations ‘algebraic’? Well, not exactly. As it turns out, transcendentalism exists in mathematics!
First of all, what is a ‘function’?
A function is a basically a relation between a set of inputs and a set of permissible outputs with the constraint that each input is related to exactly one output. It is just a mapping from one set of values to another set of values. Sometimes, two or more values in one set can map to the same value in the other set. A simple example would be y = x^2 + 3. You put different values for x and you get corresponding values for y. Also, you get the same value for y when you substitute, say 4 and -4, for x. Simple enough right? Let’s go further.
What is an ‘algebraic’ function?
Most of the equations you usually see in your daily life are algebraic. Some examples are:
x + y = 1 6x^2 + 7y^3 = 13
In the above equations, if you put different values for ‘x’, you will get corresponding values for ‘y’. I can give you a more formal definition, but then it will kill the spirit of this discussion by introducing too much mathematics. Basically if you see a combination of x and y, both of them being nice polynomials, then we can say it’s algebraic. Pretty straightforward! Alright, now there are some functions that cannot be expressed in this form. Those functions are called transcendental functions.
Transcendental, you say!
The set of real functions may be divided into two classes: algebraic functions and transcendental functions. Some of the more popular transcendental functions are the trigonometric functions, the inverse trigonometric functions, exponential functions, and logarithms. For example:
y = x^(1/x) y = sin^2(x) y = log(x)
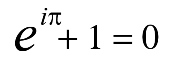
The equation given below is called Euler’s equation. It has been called the most beautiful equation in mathematics (not ‘one of the most’, it is ‘the most’ beautiful equation) and it is transcendental:
where e is the base of the natural logarithm, i is the imaginary unit (defined by square root of -1) and π (pi) is the constant relating circumference of a circle to it’s diameter (~3.1415).
I don’t know if you can see just how beautiful this equation is. Some of the most fundamental constants in mathematics harmoniously come together to form an intricate, yet simple, equation that sums up to 0. How can we not fall in love with mathematics!
Where do we use transcendental functions?
Transcendental functions are of fundamental importance in mathematics, physics, mechanics, and many other fields in science and technology. All exponential functions have the unique and amazing property that the rate of change of the function at any point is directly proportional to the value of the function at that point. That is, the higher the function’s graph gets, the steeper the tangent line becomes. This is what happens with compound interest and population growth.
For example, if you put $1000.00 in a bank that pays 10% interest compounded annually, your balance will grow exponentially. Although the interest rate is always 10%, the dollar amount of the interest increases each year because the balance gets bigger. For example,
the first year you will only get $100.00 interest, but for the second year you will get more because the balance will be $1100.00. You will get $110.00 interest the second year. The third year the interest will be $121.00. It’s always 10%, but 10% of bigger and bigger numbers. The larger the balance, the faster it grows. This whole thing is modeled using the exponential function, which is transcendental.
A similar thing happens with populations. The more animals or people or bacteria there are, the bigger the population increase will be over a given time. If each generation is 10% larger than the previous generation, the population will grow exactly like the bank balance in the previous paragraph. We can go on quoting examples, but I think you get the message. If you are interested, you can read up more on transcendental functions. It’s pretty interesting!
————————————————————————————————-

So, is there something that transcendental functions have in common, besides not being polynomial? Or is ‘transcendental’ simply a synonym for ‘not polynomial’?